轉載請備注(http://www.shunyi2717.com.cn/)
一背景
在電力系統的接地故障中,少有金屬性接地故障,多數接地故障都是經過渡電阻接地的。基于圓特性的距離繼電器除了有方向阻抗繼電器之外,往往附帶有零序電抗繼電器,以排除過渡電阻造成的超越性質的誤動。
對于過渡電阻造成誤動的理論分析,有些資料語焉不詳,比如某距離保護說明書這么描述“該繼電器(指方向阻抗繼電器)可以測量很大的故障過渡電阻,但在對側電源的助增下可能超越,因而引入第二部分零序電抗繼電器以防止超越”。
有些描述不夠準確,比如某論文中提到“超高壓大負荷線路末端經電阻故障,由于對側電源提供的短路電流與本側短路電流相位不同,過渡電阻在阻抗繼電器中會呈現出電感或電容分量。”
二理論分析
本文試圖分析單相接地短路時,過渡電阻對于接地距離繼電器的影響,指出其造成距離繼電器誤動的本質原因。
設圖示的線路MN上的F點經過渡電阻R發生AG短路,過渡電阻一般為純阻性。

對于M側的安裝的線路保護,其看到的計算阻抗:

輸電線路一般有正負序阻抗相等,則零序補償系數:

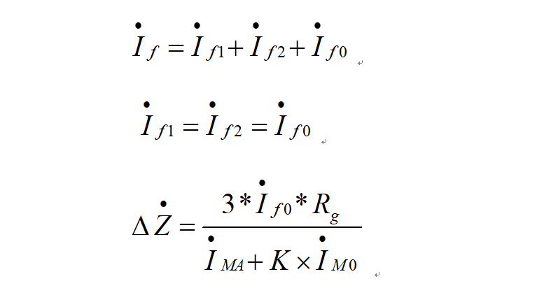
對于過渡電阻 Rg 其上流過的是故障電流 If,UFA = If * Rg,對于A相接地短路有:

考慮到 IMA 為負荷電流 IFHMA 與故障電流 IfMA 的疊加,且M側感受到的故障電流是流過 Rg 的故障電流 If 的分流。則:
式中 CM1、CM0 分別被稱為M側的正序、零序分流系數,考慮輸電線路及發電機的正序阻抗、負序阻抗近似相等,有 CM1 ≈ CM2。

以正序網絡為例,考慮正序分流系數的解析表達:

同理零序分流系數:

由于線路以及發電機的正序、零序阻抗的阻抗角基本都在70°~80°之間,因此CM1、CM0、K是實數或者相角極小的復數,從工程實用化計算的角度看 2CM1 + CM0(K+1) 可被近似看作實數。若故障前線路空載 IFHMA = 0:

則此時 ΔZ 近似為實數,即電阻性質。若故障前線路重載,負荷電流 IFHMA 相比于故障電流 If 不可忽略不計(當過渡電阻阻值不可忽略不計時,會一定程度減小相同故障點、相同故障類型的故障電流),那么 IFHMA/If0 的值將影響 ΔZ ,使其變成阻容性或阻抗性。當M側為送電側,IFHMA 超前于 If,則 ΔZ 為阻容性;當M側為受電側,IFHMA 滯后于 If0,則 ΔZ 為阻抗性。假設故障點位于MN的中點 |UM|0|| = |UN|0||,相關電氣量如下圖所示:

三對保護行為的影響
過渡電阻對于距離保護的不利影響往往體現在三個方面:
①對送電側而言,在稍超出整定范圍處經過渡電阻短路時,距離保護看到的過渡電阻形成的 ΔZ 為阻容性,此時易形成超越誤動。


② 對送電端而言,在保護出口處經過小過渡電阻短路時,距離保護看到的過渡電阻形成的 ΔZ為阻容性,若方向繼電器以母線電壓為極化電壓阻抗圓過原點,此時易拒動;③ 對受電側而言,在其背后的出口處經過小過渡電阻短路,距離保護看到的過渡電阻形成的 -ΔZ 位于第Ⅱ象限(對方向阻抗繼電器而言,反方向故障時其比相方程中計算阻抗取 -Z ),此時距離保護易誤動。這個問題可以這么理解,假設故障前潮流方向由M流向N,N側為受端。假設N側背后N'側亦裝有保護,N'側為送端,N'側看到的過渡電阻形成的 ΔZ 為阻容性(位于第Ⅳ象限)。此時N側與N'側處的保護感受到的電壓相同,電流相差180°。所以N側看到的 -ΔZ 與 N' 側 ΔZ 相比,幅值相同,相位相差180°。零序電抗繼電器處理了①,將方向阻抗圓割掉部分,寧可損失部分動作區域(可能的拒動,畢竟還有其它原理保護備用),也不允許保護誤動。方向距離繼電器的正序極化電壓處理了②③,即正方向短路時,阻抗圓包含原點,包括Ⅲ、Ⅳ象限的部分區域;反方向短路時,阻抗圓向Ⅰ象限高拋,遠離原點。所以其一般無②、③所描述的誤拒動風險,這也是采用正序電壓作為極化電壓相比于母線電壓作為極化電壓的相對優勢之一。


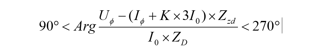
綜上所述,線路上發生單相接地故障時,線路兩側分到的故障電流基本是同相位的(或者相位相差很小),關于這一點已經被無數現場實際錄波波形以及仿真波形所驗證。并且零序電抗繼電器的方程為:

此處比相方程分母上的極化電壓 I0×ZD 就是假設過渡電阻上流過的故障電流近似與保護安裝處感受到的零序電流同相位,這也從另外一個角度側面反證明了分流系數近似為實數, 零序電抗繼電器作為一種原理成熟的繼電器,它的正確性與實用性早已在工程現場被反復驗證。單相接地短路時,過渡電阻之所以在距離繼電器的視角下被看成阻容性或者阻抗性主要是受負荷電流的影響。如果距離繼電器能剔除負荷電流對于繼電器的影響(比如突變量距離),那么必將取得更好的容納過渡電阻的能力。也正是由于對于距離保護而言,始終無法克服過渡電阻的影響,所以距離保護中基于阻抗原理的單端測距方法,廠家的技術說明書只能宣稱多相故障可以達到的測距精度。
文章來自電力微機保護網
產品咨詢電話號碼:13655813266 手機號碼微信同步,歡迎咨詢!